Les unités de mesure utilisées en vol et au sol en aviation font l'objet de l'annexe 5 à la Convention de Chicago par laquelle l'Organisation de l'aviation civile internationale adopte le Système international d’unités (SI), avec une dérogation pour d'autres unités qui peuvent être utilisées ou non par les différents États, à la place ou en complément des unités SI, en particulier pour « l'utilisation temporaire » des mille marin, pied et nœud.
Au début de l'aviation, les unités étaient celles en usage dans chaque pays (métriques ou anglo-saxonnes). De fait, les pays occidentaux, même ceux où le Système international est en vigueur, ont toujours utilisé des unités hors SI, milles marins, pieds et nœuds (entre autres) pour la navigation aérienne et l'instrumentation des avions de ligne. Cet usage s'est progressivement étendu à l'aviation légère, notamment sous l'influence des constructeurs américains. Cependant, l'ancien bloc soviétique utilisait les unités métriques, et c'est toujours le cas dans les pays non anglo-saxons pour les planeurs.
La transition vers un système unique reste toujours débattue au sein de l'OACI, l'informatisation des instruments de bord permettant théoriquement une transition facile entre les deux systèmes, mais non sans risque de confusion.
Unités principales
Essentiellement, il s'agit des unités suivantes :
- le pied (ft), ou le mètre, pour les distances verticales, les altitudes ou les altitudes-pression.
- le niveau de vol (FL) qui désigne l'altitude-pression en centaines de pieds (p.ex. FL 380 = 38 000 ft d'altitude-pression)
- le pied par minute (ft/min), ou le mètre par seconde (m/s) (parfois le nœud ou le mètre par minute) pour indiquer une vitesse verticale,
- le mille marin, généralement appelé nautique (NM), ou le kilomètre (parfois le mile), pour les distances horizontales,
- le nœud (kt - milles nautiques par heure) ou le km/h (parfois le mph), pour la vitesse indiquée, la vitesse-propre ou la vitesse-air.
Autres
- Le pouce de mercure (inHg), est utilisé pour la pression d'admission dans un moteur à pistons et, dans les pays anglo-saxons, pour le calage altimétrique.
- l'hectopascal (anciennement appelé millibar), pour la pression atmosphérique dans l'information météorologique et le calage altimétrique.
- le nombre de Mach (Mach), rapport de la vitesse de l'avion à celle du son à la température ambiante, n'est pas une unité mais une valeur physique, importante en aérodynamique compressible (pour les avions rapides) et indépendante du système d'unités utilisé.
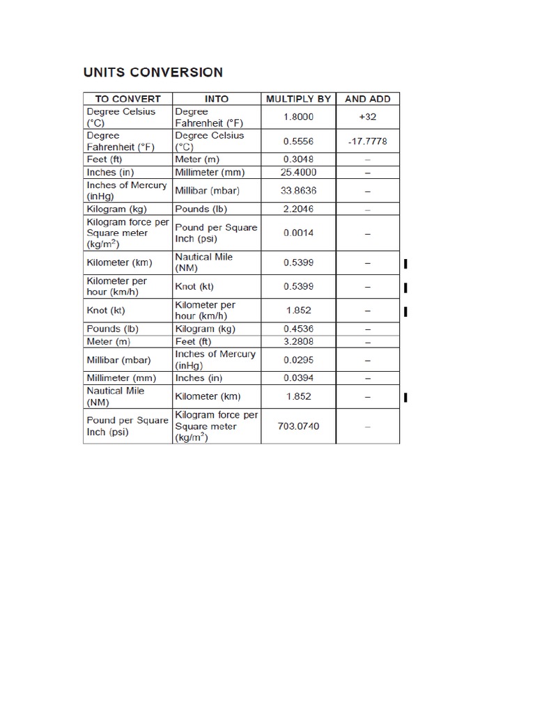
Conversions
Les conversions vers le Système international sont les suivantes :
- 1 ft = 0,304 8 m ;
- 100 ft/min = 0,508 m/s,
- 1 NM = 1 852 m ;
- 1 kt = 1,852 km/h ≈ 0,514 44 m/s
- 1 inHg ≈ 33,86 hPa ;
- Mach 1 ≈ 340 m/s = 1 224 km/h dans de l'air à 20 °C (sa valeur est proportionnelle à la température en kelvins).
Calcul mental
Il existe quelques relations faciles à retenir entre ces unités :
- 1 NM ≈ 6 000 ft (6 076 ft) ;
- un plan de descente ou de montée exprimé en pourcentage multiplié par une vitesse horizontale en nœuds donne une vitesse verticale approximative en pieds par minute ; par exemple, à 100 kt pour descendre sur un plan de 5 % il faut compter environ 500 ft/min (100 × 5 = 500) ;
- 15 % d'une vitesse horizontale exprimée en nœuds correspond approximativement à l'angle d'inclinaison en degrés permettant d'effectuer un demi-tour en une minute ; par exemple à 140 kt, il faut incliner l'avion d'environ 21° pour ce faire (140 × 15 % = 21).
Notes et références
- Portail de l’aéronautique



